随着抗体类药物被批准用于治疗各种疾病,特别是在新冠疫情爆发之后,在过去十几年的时间里,抗体已成为医药市场上最畅销的药物种类之一。由于抗体药物结构的特殊性和复杂性,导致了其质量的不均一性,而抗体质量属性如糖型、聚体、蛋白表面电荷的变化,会显著影响药物的安全性和有效性。因此,我们需要在药品制造过程中制定相应的控制策略,来得到目标的抗体质量属性。
细胞培养过程作为抗体药物被细胞生产出来的阶段,其培养环境的变化对于细胞的代谢和状态均会产生很大的影响,从而影响抗体的质量。因此,在细胞培养阶段通过培养基筛选、小分子添加和工艺参数优化等方式,来优化抗体的质量属性来达到目标的安全性有效性,已经成为工艺开发过程中最重要的步骤之一。
产品的关键质量属性(Critical Quality Attributes, CQAS),即对药物的安全性和有效性有影响的质量属性,潜在的CQA主要包括片段化程度、聚体含量、电荷变体分布和糖基化构型等。它们与细胞胞内的蛋白翻译后修饰和细胞胞外的降解过程密切有关,其差异主要形成与药物的整个研发和生产过程中的细胞培养阶段。
培养过程中影响抗体质量属性的因素
通 气
在哺乳动物细胞生物反应器中,通气是一个关键组成部分,特别是在高细胞密度下操作时,因为需要向细胞提供足够的氧气,同时必须去除二氧化碳,以防止其在培养液中积累。这通常使用气体鼓泡和顶空通气的组合来实现。在大型容器中,氧气通过使用气体鼓泡分散在底部附近来提供。生物反应器中使用的气体扩散器可以是多孔熔块鼓泡(由陶瓷、聚四氟乙烯或不锈钢制成)或钻孔鼓泡 (DHS)。前者会产生较小的气泡,从而增加界面表面积和气体停留量,但也更容易引起泡沫,对 CO2 汽提效果不佳。因此,经常遇到双鼓泡设计。下表概述了常用的不同设计和通气配置。在大多数情况下,O2和CO2按需通入,以控制溶氧水平和 pH 值,而空气则不断通入,有时还供应到顶部空间。
氧 气
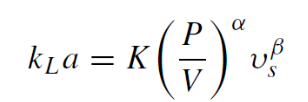
在哺乳动物细胞培养中,溶氧水平通常保持在空气饱和度的 10% 到 80% 之间。过高的氧浓度会导致活性氧 (ROS) 的积累,这会导致线粒体呼吸链和细胞内氧化还原的改变,最终导致细胞生长抑制和特异性生产力下降。另一方面,低氧条件也会诱导 ROS 积累。研究已显示在 20% DO 下 10 天的长时间暴露会引起与在 0.5%–5% DO 下暴露 1-3 天后观察到的相同的缺氧反应。缺氧条件也与摄氧量减少和乳酸产量增加有关。ROS 积累与大规模(5,000 L)条件下生产力的显著下降相关,而在小规模(20 L)条件下没有遇到这种问题。因此,在规模放大过程中必须仔细选择 DO 设定点;在类似的 DO 水平(空气饱和度%)下,与台式生物反应器相比,大型容器中的实际氧气浓度将显著更高。尽管表面通气减少了由气泡引起的剪切应力,但它对整体气体传输的贡献在更大的范围内变得可以忽略不计。为了减少由气泡在气液界面破裂引起的剪切应力,将表面活性剂,如Pluronic F-68(或 Kolliphor? P188),添加到细胞培养液中。1 g/L(和高达 5 g/L)范围内的Pluronic 浓度通常用于提供剪切保护。 氧气传质系数 (kLa) 用于衡量系统的氧气传输能力。对于给定的生物反应器配置,根据以下公式,kLa主要与单位体积功率输入 (P/V) 和表观气体速度 (vs) 相关,其中 K 是常数,指数 α和 β 分别约为 0.4 和0.5

气泡大小、混合速度、气体流速、体积和生物反应器几何形状等工艺参数都会影响 kLa。各种培养基成分,包括盐、消泡剂和表面活性剂,也已被证明会影响传质系数。特别是,消泡剂被发现可以显著降低 kLa。Pluronic F-68 也会降低 kLa,但程度较小,而盐的添加会增加氧传质系数。另一个影响 kLa 的因素是叶轮的数量。一般来说,类似几何形状的生物反应器规模的增加将导致 kLa 的增加,正如在传统搅拌罐和一次性生物反应器中所指出的那样。液体高度的增加导致更长的气体停留时间,从而允许更有效的气体转移。
二氧化碳
在哺乳动物细胞培养中,溶解的二氧化碳 (PCO2) 水平通常保持在 4-10% 的CO2饱和度 (30-70 mmHg)。众所周知,高浓度的溶解CO2 (150–200 mmHg) 会对多种哺乳动物细胞的细胞生长和生产力产生不利影响。在 CHO 细胞培养中,高 PCO2 水平可抑制细胞生长、细胞生产力并改变产品质量。溶解在水中的CO2通过与水反应形成碳酸盐,其分解成碳酸,而引起酸化。培养液的酸化导致需在 pH 值控制的培养中添加碱,从而导致渗透压增加。与正常水平(260-320 mOsm/kg)相比,渗透压升高(460-500 mOsm/kg)会降低活细胞密度和活性。这在补料分批培养中进一步加剧,在这种情况下,浓缩营养物的补液可导致渗透压高达 540 mOsm/kg。尽管CO2可能对细胞培养性能产生不利影响,但它仍然是核酸代谢合成所必需的,因此其浓度不得过低。与正常 PCO2 水平(28-54 mmHg)相比,发现超低 PCO2 水平(12.5-24.5 mmHg)在细胞培养 6 天后会降低活细胞密度和细胞活性。 大规模动物细胞培养面临着以与消耗氧气大致相同的摩尔速率去除细胞产生的二氧化碳的问题。在大型容器中,顶空通气通常不足以去除二氧化碳。因此,必须调整鼓泡流速和搅拌速度,以确保有效的二氧化碳汽提。应该注意的是,据报道,二氧化碳汽提与大型生物反应器中的气体传质系数无关。相反,由于相对于气泡饱和时间较长的气体停留时间,二氧化碳会在培养基中积累;气泡在离开培养基之前变得二氧化碳饱和,使得传质不再限制二氧化碳汽提。
搅 拌
搅拌不仅有助于确保均匀的条件,而且在改善传质方面也起着重要作用,这对于向细胞提供氧气和去除二氧化碳很重要。大规模哺乳动物细胞培养中的搅拌通常由轴向泵送叶轮提供,例如象耳桨或Rushton桨。在大型生物反应器中,通常在罐的周围使用挡板以引起湍流。如果没有挡板,叶轮提供的循环能量不足以促进适当混合所需的湍流运动。没有挡板也会导致中心涡流的形成,这可能导致顶部空间和培养液之间的不受控制的气体转移。另一种增加流动湍流的策略是偏心安装叶轮轴。这主要用于挡板不方便应用的情况,例如一次性生物反应器。 搅拌与通过单位体积功率输入 (P/V) 进行的通气有关。单位体积功率输入是一个重要的工程参数,通常用作规模放大的标准,以确保可比的培养同质性。 对于生物反应器中的 哺乳细胞培养,通常调整搅拌速度以获得 10–80 W/m3 范围内的 P/V。设置搅拌条件时必须考虑的另一个关键因素是叶轮叶尖速度。 在增加的空气或氧气喷射流速下,需要较低的搅拌速度以保持气体传质系数 (kLa) 恒定。这反过来又增加了混合时间,并可能在培养液中产生异质性,包括由不同的局部气体传质系数引起的显著溶氧梯度的存在。更大的容器中混合时间明显更长的事实可能会进一步加剧这种情况。例如,发现混合时间从台式 3 L 生物反应器的约 10 秒增加到工业规模生物反应器的约 120 秒。混合时间的增加会导致 pH、溶氧、二氧化碳和营养物浓度梯度。这些梯度可能会产生关键影响,因为细胞可能会经历非最佳操作条件区域(所谓的微环境),从而导致总体培养性能下降。特别是,已发现糖基化模式受到不同溶氧水平的影响。由于 pH 不均匀性,活细胞密度和产物滴度也受到负面影响。在生物反应器中,由于混合良好的区域和增加的静水压力,在靠近叶轮的底部发现了较高的气体传质系数。
CytoLinX?BR一次性罐体式反应器

? 智能PID参数,精确且稳定控制培养参数
? 设备配件均采用进口品牌,精度更高
? 具有专利的底通设计,能够灵活组合微泡、中泡、大泡设计,满足客户工艺需求,优化培养工艺,更好的提高细胞密度,维持细胞活率。
CytoLinX?GB台式玻璃反应器

?灵活性强,适配度高,更多选择让工艺开发和表征更加灵活;
?设备控制的稳定性,温度,pH,DO 的联动效果好;
? 大泡,微泡均可选择,满足多种工艺需求;
天辰平台基于丰富的反应器产品类型及硬件解决方案,助力细胞培养工艺。
即刻咨询